【高阶因素分析】
拼译:higher-order factor analysis
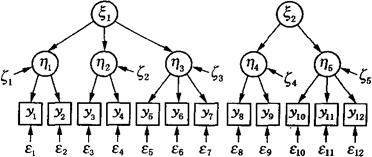
结构方程模型的一种。将因素分析得到的(斜交)公共因素作为变量进行的因素分析。分析观测变量的相关矩阵Rp×p所得的公共因素称为基本因素或一阶因素,分析一阶因素的相关矩阵 所得的公共因素称为次级因素或二阶因素,其分析过程称为二阶因素分析。若再对二阶因素的相关矩阵抽取公共因素,由此所得的公共因素称为三阶因素。这个过程可连续进行,当最后出现一个高阶因素或若干个不相关的高阶因素时,高阶因素分析就终止。下面是一个二阶因素分析的路径图。 
|