网站首页  情感咨询  情感美文  情感百科  情感生活  学习充电  旧版美文

请输入您要查询的百科知识:

 

标题 均匀分布
类别 心理学
释义

【均匀分布】
 


拼译:uniform distribution
 


概率论术语。若连续型随机变量X具有如下密度函数f(x)=则称X在区间[a,b]上具有均匀分布。均匀分布的密度函数曲线如下图:

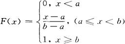
均匀分布的分布函数:

它的曲线如下图:

随便看

 

依恋情感网情感百科知识大全收录了49620条情感类百科知识词条,覆盖心理学、哲学、美学等领域,基本涵盖了日常生活中常见问题的详细解释,是情感生活的有利工具。

 

Copyright © 2002-2024 yiyi18.com All Rights Reserved
更新时间:2025/10/18 10:00:21